Assalamu;alaikum wR wB
Salam sejahtera buat kita semua, semoga kita semua selamat di perjalan sampai ke tujuan.
Dalam banyak artikel yang sudah dibahas bersama, sering dijelaskan mengenai performa engine yang diperoleh dari data pokok engine nya, yaitu bore, stroke, rpm, efisiensi volumetrik, lambda (AFR) dan lain2. Performa yang ditampilkan adalah power. Seperti tampak pada gambar berikut
Mungkin ada diantara bro2 semua yang ingin tahu, darimana angka2 itu berasal….???
Mari kita bahas bersama, nggak apa2 ya pakai sedikit matematika, jangan alergi ya bro…
Yang harus diingat kembali adalah bahwa tenaga engine dari motor kita berasal dari pembakaran bbm + udara. Sehingga untuk mengetahui seberapa besar energi yang dihasilkan, maka harus diketahui seberapa banyak bbm dan udara yang dibakar di ruang bakar (combustion chamber).
1. Yang pertama harus diketahui adalah seberapa banyak udara yang berhasil dihisap masuk kedalam silinder. Untuk mengetahuinya kita harus melakukan beberapa tahap perhitungan. yaitu
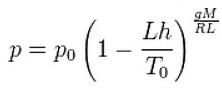
Densitas udara (kepadatan udara/gas O2, CO2, N2 dll di atmosfer), bergantung pada suhu ketinggian dan kelembaban udara. Persamaan densitas udara yg mempertimbangkan kelembaban udara agak ruwet, kita sederhanakan saja, untuk menghitung densitas udara kering (dry air) yang persamaannya :
sedangkan konstanta yang ditetapkan secara internasional
Jadi jika ketinggian lokasi = 300 m dan suhu udara-nya = 30 derajat celsius maka densitas udaranya adalah = 1.164 kg/m3
Selanjutnya dengan menggunakan ukuran bore x stroke, rpm dan VE, volume udara yang terhisap per-jam-nya bisa dihitung, yaitu
- Hitung volume silinder Vol0 = pi x bore^2 x stroke /4 /1000000 (lt)
- masa udara pada 13150 rpm Mat = volume silinder x rpm x 60 x densitas udara /2/1000 (kg/jam)
- masa udara riil Ma = Mat x VE (kg/jam), mengenai cari mencari VE ada hitungan tersendiri yang sangat rumit
Atau bisa dilihat dalam tabel berikut
2. Setelah diketahui masa udara, baru masa bensin bisa dihitung yaitu; masa bensin (Mf) = masa udara (Ma)/AFR
3. Selanjutnya dari masa bensin inilah kita bisa mengetahui berapa power engine motor kita, berikut ini tahap perhitungannya adalah:
- Dari masa bensin tersebut hitung energinya per detik dengan mengali masa bensin tersebut dengan nilai bakar (heating value (HV)= 45000 kJ/kg ) dibagi 3600–> Pfe=Mf x HV/3600
- Kemudian kalikan nilai panas total dengan efisiensi termal –> Power indikasi (Pi) = Pfe*eff_termal
- Kemudian hasil akhirnya adalap Pi dikurang rugi2 gesek, misalnya rugi geseknya 40%, maka powernya adalah –> Pcrank = Pi x (1-40%).
Jadi hasil perihitungan manual nilainya hampir sama dengan kalkulator power (HP) yang ada di internet (32.11 hp).
Kiranya cukup sampai disini dulu, itung2 kita, lebih kurangnya mohon maaf. Kepada suhu2 yang lebih faham, mohon koreksi dan masukannya. Semoga bermanfaat, wassalamu’alaikum wR wB.
NB: Yang berminat untuk men-copy file excell dari Perhitungan Power di atas, silahkan mengisi alamat e-mail yang asli di kolom pada halaman/page “reques”









petromax
keduax
http://kobayogas.com/2013/12/31/gagal-kopdar-dan-test-ride-hyperstrada-kibat-hujan/
cuma bisa garuk garuk kepala hehehe . pusing mending dyno hehe
met taun baru om!
iye sama2 semoga kita semua selamat di dunia juga di akhirat
5 besar kan?
ᅧᅧᅧᅧᅧᅧadaᅧᅧᅧᅧᅧᅧᅧ
josss tambah puyeng
absen saja… di mari sepi karena tahun baru-nya pake calender hijriyah
Selamat tahun baru 2014…smoga di tahun ini brothers semua diberi rejeki yg lancar, karir yg bagus, badan yg sehat, kesabaran yg melimpah, ketaqwaan yg tambah, ilmu yg semakin bermanfaat, amien….
juuos,mesti dikit pusing bacanya
http://aripitstop.wordpress.com/2014/01/01/pemikiran-sederhana-kenapa-yamaha-r15-lebih-kencang-6-detik-dari-cb150r/
om…….
kalo dibagi-bagi lagi masalah borexstroke ini kayaknya ada
– longstroke overbore (scorpio)
– longstroke overstroke (nvl)
– shortstroke overbore (cbr)
longsroke di sini sy anggap maks bermain di 10.000rpm ( ps hampir/ sdh 21)
khusus untuk bebek n matik yang rata2 (kalo gak salah) bermain di 9rbu-an rpm karena mslh stroke yg sdh mendekati ps apabila di bore up sampai diatas strokenya kan langsung berubah jd overbore tp low rpm…….gimana performanya?
contoh mio n beat pake piston tiger/cbr.
ini ada lagi mslh om….
kemarin sy ditanya tentang matik y…..matik y kan suka tekor aki yg injeksi, lah kalo sudah tekor gak mau hidup bahkan bila dipancal…..katanya mekanik buat melindungi ecu?
pertanyaanya: la terus buat apa dikasih kick starter?!
asli bingung gak bisa jwb…….
Nice sharing kang 😀
juooozzzz kang iwan…
muantab ilmunya,,,,cenut2 bacanya
hohohoho….
belajar…belajar…
bro motogokil, kok bs dpt itungan rugi gesek 40% tu drmana? jgn2 nilai rugi gesek dpt 40% tu gara2 biar dapet 32hp ya…. istilahnya dipas-pas kan…
he..he.. sedikit nyelentik….
sebenernya mencari rugi gesek, persamaannya puaannjanngggg, dan rumiiittt
jadi ente betul bro, “dipas-pas kan” untuk memudahkan saja. Bahkan kalau kita menggunakan persamaan perhitungan kinerja mesin tersebut kemudian dipaskan dengan keluaran power di crankshaft (sesuai brosur), maka baik untuk cb150r dan nvl, kerugian gesek berada di sekitar 37%.
menurut sy, besar rugi gesek gak cuman bermain rumus yg puanjang, tp ttp harus diuji scr empiris, coz material logam yg berbeda, dalam hal jenis material, komposisi material, ukuran, bentuk, struktur mikroskopis permukaan, suhu, celah antar permukaan, koefisien muai, kecepatan,dll… jd gak mungkin hanya dijabarkan dalam rumus aja,
btw sgt mungkin 2 mesin dg tipe mesin sama tp rugi gesek berbeda…
itu betul bro, tapi unsur logam bisa dianggap kecil jika dibandingkan dengan rpm, bore dan stroke. Jadi variabel dari jenis logam bisa diabaikan, apalagi saat ini bahan yang digunakan dalam setiap motor massal relatif sama, dengan koefisien muai yang hampir sama. monggo dicek
Om, saya tertarik dengan perhitungannya untuk belajar..
Saya minta perhitungannya ya om ke e-mail saya : farhan_novrian@yahoo.com
Makasih om..
ok, nanti ane kirimin
ternyata artikelnya sudah ada. ikut minta perhitungan excelnya pak. xmail.black@gmail.com
keren banget gan….
teori-nya dulu…. lanjut praktek….
berhubung saya tidak menemukan tombol request, mohon bisa dikirimkan excel file perhitungan power nya, ke email ane savvantt@gmail.com, satu lagi tlg no kontak or alamat juragan buat copydarat, nanti ane ke tempat juragan mau diskusi dikit,trims wassalam
Om admin tulisannya keren..boleh kah saya minta Exel calc nya om..tq
boleh silahkan kirim email yang valid
mantap untuk ilmunya
klo berkenan boleh mas saya minta exclenya
email prasetyo302@gmail.com
suwun
Aku minta yo mas rumus excel nya
om boleh minta copy excel nya ya.
boleh, mana email nya ?
mas boleh minta copy excel nya / destian_22@yahoo.com
boleh
mas boleh minta excellnya ??..
maaf newbie ..
Tks ..
mas bisa bagi excelnya??? ryospeedy97@gmail.com
Mantap om…. boleh minta file exel nya om coz saya tertarik banget untuk mempelajarinya
ini email saya om
yoedi.edanet84@gmail.com