Assalamu’alaikum wR wB
Salam sejahtera buat kita semua, semoga kita semua selamat di perjalan sampi ke tujuan
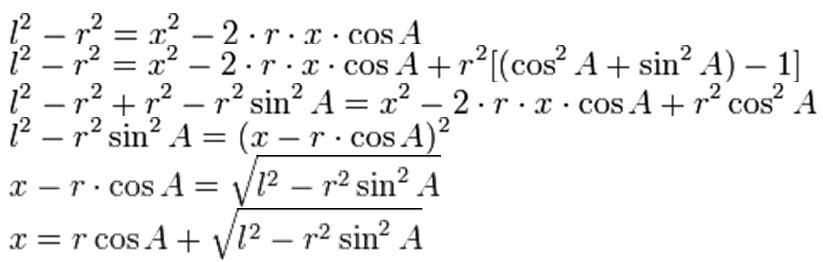
Selain perbandingan kompresi (CR/compression ratio), perbandingan bore-stroke (bore stroke ratio) yang menentukan karakter engine, ternyata masih ada satu lagi yaitu perbandingan panjang stang seher terhadap stroke (rod length ratio). Untuk memahaminya ada baiknya kita melihat geometri dari “jantungnya mesin” yaitu silinder, piston, stang seher dan bandul (crankshaft).
Seperti yang pernah ane bahas mengenai pergerakan naik-turunnya piston, pada artikel terdahulu, bahwa salah satu variabel penentunya adalah panjang conrod (L atau l )
Karena itu baik kecepatan piston juga tergantung dari panjang conrod nya, karena merupakan turunan pertama
dan akselerasinya merupakan turunan kedua.
Kemudian jika digambarkan dalam bentuk grafik untuk perbandingan (L/r)=panjang conrod : radius crankshaft (stroke/2) = 2, 4 8 dan 20 (hanya untuk simulasi), sehingga diperoleh grafik2 berikut
Dari grafik2 tersebut bahwa semakin panjang conrod-nya (L/r), maka engine akan memiliki keuntungan :
- Menyediakan waktu yang lebih lama bagi piston di dekat TMA , sehingg mampu mempertahankan kondisi kompresi tinggi dalam waktu yang lebih lama. Hal ini menjadikan pembakaran yang lebih baik, tekanan silinder lebih tinggi setelah beberapa derajat TMA, dan suhu yang lebih tinggi dalam ruang pembakaran, sehingga sangat cocok untuk mengail torsi di putaran menengah sampai atas.
- Karena sudut berkurang, stres pada dinding silinder juga berkurang, sehingga gesekan juga berkurang.
- Untuk tinggi dek clearence yang sama, dapat menggunakan piston yang lebih pendek, sehingga piston lebih ringan, dan umumnya memiliki tingkat keamanan yang lebih tinggi pada rpm maksimum.
Kerugiannya juga ada
- Efisiensi volumetrik menjadi rendah pada rpm rendah sampai menengah, karena kecepatan aliran udara berkurang.
- Tidak praktis, karena terkait dengan panjangnya silinder blok, kamprat dll.
Sedangkan untuk L/r yang lebih pendek, memiliki sifat sebaliknya. Karena sifatnya yang menguntungkan di rpm tinggi, maka beberpa mesin balap, memiliki con-rod yang panjang. Perhatikan Mesin r1 2011, dengan bore yang cukup besar, dan stroke yang kecil, panjang silindernya mengindikasikan ukuran conrod yang panjang.
Semoga bermanfaat, wassalamu’alaikum wR wB.









naik stroke
http://aripitstop.wordpress.com/2014/02/08/gelaran-indo-prix-2014-sebentar-lagi-rencananya-seri-perdana-indoprix-2014-akan-digelar-di-sirkuit-skyland/
Pertamax
Wah…gagal…
wah ini bacanya harus serius
banyak rumus-rumusnya
Waduh rumus meneh… Puyeng Hehhee
http://kobayogas.com/2014/02/08/renault-duster-2013-siap-untuk-di-explore/
juozzz gandozzz njotozzz njotozzz
Ada tdk mesin yg over bore tapi conrodnya panjang ?
itu pro neotech/old mgpro, kan connecting rod nya kan pjg? dg bore 63,5 stroke 49,5mm panjangnya sama dg max neotech tp profil beda, klu sama tger 100% persis
Pake rumus turunan si Akang. 😀
Mau tanya.. ada kemungkinan stang seher melintir, bengkok atau patah bila melakukan over stroke ? dan cara antisipasinya apa Kang ?
Trims
maksudnya bila melakukan stroke up.
Yang harus difahami lebih dahulu adalah komponen orinya adalah untuk kebutuhan standar harian, kemampuannya sudah diperkirakan dan disesuaikan dengan powernya.
Ketika dilakukan stroke-up, mastinya volume akan bertambah, tenaganya juga akan naik drastis, dan bisa jadi akan main di rpm yang lebih tinggi lagi
Hantaman kompresi dan putaran mesin yang tinggi, merupakan musuh bagi komponen mesin, utamanya bagian big-end.
Ketika bagian big-end dimodifikasi untuk stroke-up, maka kemungkinan rusak menjadi 2x lipat. Yaitu dari power dan rpm yang semakin tinggi, dan kekurang-presisian dalam memodifikasi big-end.
Oleh karena itu bandul yang di-stroke-up, di-balance sampai mendekati “nol” penyimpangannya. Kemudian diperkuat dengan las listrik.
old megapro ane aman gan..trgantung bengkel stroke’nya juga sih
alkhamdulillah, gimana rasanya peningkatan powernya ?
mantappppp…tp msh perlu penyesuaian lg yg laine
Oooh gt ta..
nyimakkk sebagai knowledge
http://nivikoko.wordpress.com/2014/02/08/pojok-analysis-ini-pendapat-yang-logis-terhadap-statement-ahm-mengenai-recall-produk-cbsf/
http://nivikoko.wordpress.com/2014/02/08/awasss-aplikasi-under-cowl-di-nvl-terlalu-pendek-bisa-bunyi-gubrak-dan-pecah-gan/
langsung skip komen,, syerem liat rumus
tanya pak :
1. mengganti aja stang seher dgn yg lebih panjang dr standarnya.
2. naik stroke dengan menggeser keluar big end kruk as…dgn stang seher yg sama dgn standarnya
3. naik stroke dengan menggeser keluar big end kruk as…dgn mengganti stang seher yg lebih pendek dr standar nya.
mana yang paling bagus diantara ketiga di atas…thks
Yang paling tepat stroke-up sekaligus ganti con-rod yang lebih panjang
berarti stroke dan panjang conrod sbnernya hal yg sama atau 2 hal yg brbeda pak,.
saya kok ngrtinya stroke itu adalah panjang dari dome piston sampe ke tmpat percikan api busi di dome head
ya bedalah.
Stroke jarak langkah dari TMA ke TMB,
sedangkan panjang conrod adalah jarak dari big-end ke small-end
coba lihat disni https://motogokil.com/2014/01/20/memahami-geometri-dan-gerakan-piston/
visualisai stroke ada disini https://motogokil.com/2014/01/08/ada-sesuatu-di-dalam-silinder-motor-kita-apaan-tuh/
dan pengaruh panjang conrod di sini https://motogokil.com/2014/02/08/pengaruh-panjang-con-rod-stang-seher-terhadap-performa-engine/
Klo cuma mengganti conrod yg lebih panjang dan bandul tidak di struk.. ada perubahan ga bos sama motornya atau bisa naik struk ga bos
stroke nya tetap, tapi kepala piston akan lebih nongol di silindernya
Klo ganti stang seher yg lebih panjang tanpa merubah struk bisa naik struk ga bos motornya
dear motogokil, ane punya rencana stroke up alias geser big end. agar gak ngepak lagi kira2 kalau di ganti stang yang lebih pendek gimana ? atau justru ganti stang yg lebih panjang ?
Gan…semisal panjang dari stang seher dihitung dari titik tengag pen besar di as kruk dan pen kecil di seher….dipasang di honda karisma yang nota bene 100 mm ….dipasangin stang seher panjang 97 mm…tanpa mengotak atik lainnya..akibat yang ditimbulkan apa?
Stang seher 97 mm kalo nggak salah punya Legenda 2 dengan kode KFL SH.
Makasih Gan sebelumnya.
A klo Piston 58,stang piston Bagus Yang Panjang Apa Pendek?