Assalamu’alaikum wR wB dan salam sejahtera
Suatu bentuk krucut, jika dipotong oleh bidang datar maka perpotongannya akan membentuk kurva-kurva yang disebut konik. Bentu kurva-kurva tersebut tergantung bagaimana memotongnya, lihat gambar di bawah ini.
Kurva yang dihasilkan adalah :
- Elips
- Parabola dan
- Hiperbola
Ketiga kurva tersebut memiliki ciri-ciri yang sama yaitu memiliki gari tetap ” L ” yang disebut direktrik, titik tetap “F” yang disebut fokus dan titik-titik P yang terletak pada kurva konik tersebut. Jarak PF dan PL membentuk suatu formula yang bersifat umum, yaitu

Yang mana “e” (eksentrisitas) adalah rasio (+) pembandingnya. Masing-masing kurva konik memiliki besar e tertentu,:
- Elips, memiliki e dengan nilai 0 < e < 1
- Parabola, e = 1
- Hiperbola, e > 1

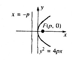
Parabola
Bagaimana mendapatkan persamaan parabola ? Perhatikan gambar berikut

Pada parabola nilai e =1, maka |PF| = |PL|.
Kemudian perhatikan titik L, P dan F dan tentukan jarak (panjang garis) PF dan PL.
Dan untuk parabola dengan sumbu dan letak puncak yang berbeda akan menghasilkan persamaan yang berbeda pula

Contoh Soal 1 : Tentukan fokus dan direktrik dari persamaan y²=12x
Penyelesaian : Perhatikan bentuk persamaannya, tentukan bentuk dan gambar yang sesuai, yang sesuai adalah
y² = 4px sehingga 4p = 12 dan p = 12/4 = 3
Gambar yang sesuai, parabola terbuka ke samping kanan, sehingga titik fokusnya adalah F(3,0) dan direktriknya adalah L=> x = -3
Coba selesaikan dengan langkah yang lengkap contoh-contoh lainnya
Contoh soal 2 : Tentukan fokus dan direktrik dari persamaan x²= – y !
Contoh soal 3 : Carilah persamaan parabola yang puncaknya di (0,0) dan fokusnya di (0,5) !
Contoh soal 4 : Carilah persamaan parabola yang puncaknya di (0,0) yang melalui titik (-2,4) dan terbuka ke kiri !
Sifat Optis Parabola
Sifat optis parabola adalah :
- Jika ada sinar dari arah depan yang sejajar dengan sumbu, maka akan dipantulkan ke titik fokus
- Sebaliknya jika fokus menghasilkan cahaya, maka sinar akan dipantulkan ke depan sejajar dengan sumbu.

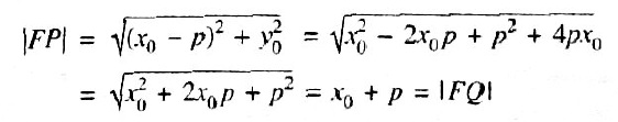
Penjelasan matematis :

Jika sinar jatuh pada titik P, maka sinar akan dipantulkan ke fokus oleh bidang pantul yang merupakan garis singgung parabola, secara otomatis pula bahwa sudut α = β. Jika persamaan parabola adalah
y² = 4px, maka turunannya di titik P adalah
2y’y = 4p , sehingga kemiringan garis singgunnya adalah
y’ = 4p/2y = 2p/y , maka kemiringan garis singgung di P(xo, yo) adalah
y’ = 2p/y0 , dan persamaan garis singgungnya adalah
y – y0 = y’ (x – x0)
=> y – y0 = (2p/y0) (x -x0)
Saat garis singgung memotong sumbu-x (y = 0) maka persamaannya menjadi
-y0 = (2p/y0)(x – x0)
=> (x – x0) = – y0²/2p ,
karena sesuai dengan persamaan parabolanya y0² = 4px0, maka
=> (x – x0) = – ( 4px0)/2p
=> (x – x0) = -2×0
=> x = -x0, jadi koordinat titik Q adalah (-xo, 0)
Agar sifat optis terpenuhi maka sudut α = β, dan segitiga FQP harus merupakan segitiga sama kaki, sehingg panjang kaki segitiga FQ = FP
Materi Sebelumnya Materi Selanjutnya




Semoga tercerahkan dan komen mas bro juga ikut mencerahkan