Assalamu’alaikum wa rochmatullohi wa barokatuh
Salam sejahtera buat kita semua, semoga kita semua selamat di perjalanan sampai ke tujuan
Spesifikasi penting dari all new cbr250rr sudah keluar, salah satunya adalah power sebesar 36.8 ps. Dari data ini langsung bisa dibandingkan dengan rival terdekatnya yaitu r25, yang memiliki power 36 ps. Power cbr250rr hanya lebih besar 0.8 ps, pengaruh apa nggak bro ???
Kalau cuma dilihat selisih powernya, mah hampir nggak ada perbedaan dengan r25. Akan tetapi jika memperhatikan klaim honda, bahwa all new cbr250rr bisa melibat trek sepanjang 200 hanya dalam waktu 8.65 detik, tentunya ini sesuatu banget. Karena jika dibandingkan dengan hasil pengujian r25 oleh otomotif perbedaannya sangat besar.
Otomotif pernah melakukan test drag r25 yang menghasilkan waktu tempuh 9.7 detik untuk trek 0-201 meter. Lihat hasil lengkapnya
0-60 km/jam: 3,1 detik
0-80 km/jam: 4,7 detik
0-100 km/jam: 7 detik
0-100 m: 6,3 detik
0-201 m: 9,7 detik
0-402 m: 15,5 detik T
op speed spido: 170 km/jam
Top speed Racelogic: 158,4 km/jam
Konsumsi bensin: 22,7 km/lt
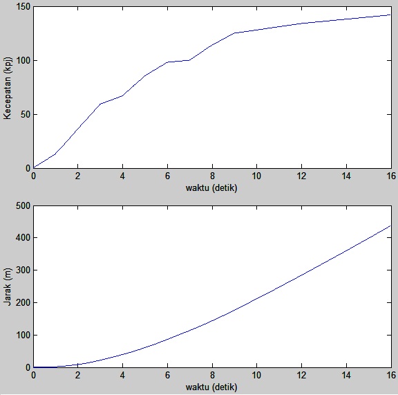
Jika boleh motogokil gambarkan, kira-kira seperti inilah grafik perubahan kecepatan dan jarak tempuh r25 yang diuji oleh otomotif.
Dengan menggunakan perhitungan yang menghasilkan grafik tersebut, jika pada 8.65 detik all new cbr250rr sudah menempuh 200 meter, maka r25 baru menempuh 164.5 meter. Jadi selisih jaraknya sangat jauh yaitu 35.4 meter.
Mungkin akan ada pertanyaan, lho itukan testernya beda, cbr250rr oleh honda sedangkan r25 oleh otomotif ?
Oh..iya, lain rider/tetster tentunya sulit untuk dibandingkan, meskipun keduanya sama-sama profesional. Baiklah sekarang mari kita lihat error antara klaim honda dan hasil test otomotive, misalanya pada all nw cb150r. Menurut hasil pengujian, honda all new cb150r hanya membutuhkan 10.5 detik untuk melibas trek sepanjang 200 meter, sedangkan versi otomotive sekitar 11.45 detik. Artinya error dari kedua hasil pengujian adalah 9.52%. Nah jika diterapkan pada klaim honda atas performa all nw cbr250rr, maka hasil test otomotif akan berada dikisaran 9.47 detik. Nah dalam 9.47 detik tersebut, r25 sudah mampu melibas trek sepanjang 192.9 meter. Jadi cbr250 masih menang sedikit sekitar 7 meter, kira-kira 3 body lah. Sepertinya semakin panjang treknya dan semakin lama waktu drag-nya perbedaan jarak antara r25 dan cbr250 akan semakin jauh.
Begitulah analisis performa r25 dan penantang barunya all new cbr250rr. Hasil ini berdasarkan data pengujian tabloid otomotif dan klaim honda, dengan asumsi semua data valid. Kurang dan salahnya mohon maaf, semoga bermanfaat, wassalamu’alaikum wa rochmatullohi wa barokatuh.


ada rencana nambah koleksi mas bro?
nggak dulu kayaknya
belum maqom-nya
tidak (belum) apple to apple, masih sebatas prediksi semua. tapi yang jelas potensi cbr250rr ada di sisi fitur
Let’s see
Kemungkinan itu sangat beralasan…dan seharusnya spt itu…kuncinya 1, seberapa cepat cbr250 bs mencapai rpm tinggi, secara R25 menang stroke….
Asyik nih buat jalan sore…
yg serem baca di blog om leo, unofficialnya markes pakai stock cbr tembus waktu 1:45 om, Serem markesnya apa motornya ? 😀
salah om 1:54 koreksi timingnya 😀
itu pakai riding mode sport/sport+ kang ?
apakah nanti ada perbedaan ?
build qualitynya begimana ya… 70 juta…
Apa yang asik dari 36,8 PS: http://wp.me/p7LBn5-299
Dibela terus sampe elek.. Jelas2 zonk gitu, lebih powerfull 0,8ps sih eces banget!
tapi berat cbr dn r25 ternyata lebih enteng r25 pa dosen. R25 berat isi 166 kg sedang cbr berat kosong (curb mass) 168 (abs) 165(std). secara standar kyny r25 bisa ngacir duluan.
semoga saja begitu, mudah2 an r25 masih bisa kasih perlawanan
bahaya kalau di semua lini dimenangkan honda
Jangan membuat penyesatan mas. Curb weight itu berat kosong maksudnya berat motor termasuk cairanya bensin oli de el el minus pengendara. R25 juga curb weight itu segitu 166 kg.
Dendy, ente yang penyesatan mas…. hahahahaha….ampe segitunya belain majikan….dimana2 data berat kosong atw isi itu ya tanpa pengendara lah….hahahahaha Pak dosen coba dikasih pencerahan dulu tuh….
iya, curb weight = wet weight, berat motor lengkap dengan berbagai macam cairan seperti bensin, oli, dan air radiator. jadi cbr250rr lebih ringan 1 kg dari r25. r25 166 kg (non abs?) vs 165 kg (non abs).
Waduh…..serius looohh….??? curb weight sama dengan wet weight??? gimane pak dosen, Mana yang bener neh?? ekekekekekekekekek….
Curb weight (US English) or kerb weight (UK English) is the total weight of a vehicle with standard equipment, all necessary operating consumables such as motor oil, transmission oil, coolant, air conditioning refrigerant, and a full tank of fuel, while not loaded with either passengers or cargo
Untung ora nganggo jeneng aslimu cuk, isinlah, ra mudeng malah bilang orang lain penyesatan.
Semoga r25 ada update usd dan shock belakang pakai link biar lebih greget persaingannya.
Belain majikan. Maneh nu bela majikan mah comel
kalo saya lihat di screenshott spec cbr disitu tertera curb mass, sebenarnya sama ga sih antara curb mass sama curb weight
Makanya check dulu di Google kalu blm paham, USA dan UK standard istlah yg beda, erofa dan UK juga punya istilah satuan yg beda,
Bdt inilah contoh fansboy kalap, gw nanya disini krna pengen pnjelasan dr pa dosen, malah suruh liat di google, yg punya warung j seneng warungnya dikunjungi
https://en.wikipedia.org/wiki/Curb_weight
makanya saya nanya disini dodol…. toh lihat spek di brosur yg kemarin dibagiin disentul disitu tertera curb mass
https://motogokil.com/2016/03/20/konfigurasi-cbr250rr-k64-overbore-baget-bro-ini-dia-bocoran-blok-silindernya/#more-12047
170 on gps itu kuenceng loh.. gps bukan speedo. r25 ae cuma berape itu di gps.
Yg pasti….angslop nya lebih besar..pasti di blow up…hehe
Ingat CBR bukan power oriented but friendly handling *total control
Case cbr 250rr ini justru mendobrak pakem honda u/ cbr series, karena klaim output power >dari kompetitor dikelasnya
Lirik cbr 600 &1000 seseh
berat isi dan berat kosong itu sebenarnya sama saja, bahasa inggrisnya sama, curb weight (ada yang menyebut wet weight, berat basah)
disebut isi, karena sudah termasuk semua cairannya, disebut kosong karena tidak termasuk orang dan barang
namun intinya sama, berat kendaraan beserta seluruh cairan yang dibutuhkan (oli, radiator, bensin) dalam keadaan max tanpa orang dan barang
berat kendaraan tanpa cairan, biasanya disebut berat kering (dry weight)
berat kendaraan plus cairan plus orang & barang, biasanya disebut berat kotor (gross weight)
berat max orang & barang saja yang bisa diangkut, biasanya disebut berat bersih (nett weight)
gampang aza, R25 tinggal diboreup dengan R3 kit, beres.
pake logika warung sebelah ya:
harga r25 new + biaya tune ke r3 = harga rondo moge kinyiz kinyiz low km
lebih value dan gengsi mana ?
ane bicara produk dengan rentang harga yang sama logh ya, bukan bicara brand.
pak dosen untuk motor honda yg keluaran baru kebanyakan upgradenya diatas yamaha dgn penambahan fitur, contohnya kasus satria fu, mx 135 kemudian cs1 hadir dgn spek sedikit di atas mx bukan satria fu, begitupun di sonic & supra gtr hanya d atas mx king bukan di satria fi begitupun di segmen matic or sport naketnya..
simpelnya sih karena hanya yamaha kemungkinan bisa mengalahkan honda bukan suzuki / kawasaki jadi mau bikin sehebat apapun suzuki & kawasaki tetep honda hanya bertarung dgn yamaha.
jgn2 honda kasih spesifikasi resminya tdk sesuai dengan power mesin dalm arti power mesin aslinya lebih besar dari spek resminya supaya ninja gk jd ngeluarin facelift. Masa ada riding mode tp power 11-12 sama kompetitor hrusnya speknya bisa jauh lebih besar karna ada riding mode
Udah pake embel embel RR saja power cuma beda 0 koma sama yang belum pake R dibelakangnya. Mungkin yang RRRR bisa tembus 40HP.
Kalau ane mah tunggu R25 R atau Ninja250 RR pasti lebih powerfull
Wak .. ulasan dan kira” pabrikan viar bisa ga bertandem di indonesia sebagai pabrikan lokal dong..
sekarang motornya udah keren” sih ckck mulai ngelirik
*ngelirik dompet
Walau power r25 n cbr rr sama tp biasanya karakter beda..
Toh pakem tuning y n h beda kn..
Yang saya lihat selama ini pemakai motor 250cc apapun merknya jarang dipakai ngebut, malah cenderung buar gaya-gayaan. Jadi gak penting banget berapa selisih tenaganya. Justru yang suka petakilan yang 150cc kebawah, itupun gak kencang-kencang amat tapi bergaya layaknya pengendara MotoGP.
jika setelah dituning power/torsi CBR250RR melebihi R25, itu artinya secara performa R25 versi standard kalah dibandingkan CBR250RR.
itu wajar karena CBR250RR launching belakangan.
hanya dengan menganti header+mid-silencer menjadi long silencer, R25 mudah saja mengimbangi cbr250rr.
itu baru knalpot belum merubah pakem tuningnya dari sebelumnya (ovelap besar, LSA sempit) menjadi (overlap kecil, LSA lebar) pakem tuning dengan torsi memuncak.
kira2 begitu gambarannya, jadi secara spec R25 stroke 44,1mm diatas CBR250RR stroke 41,4mm.
@pengamat
dgn yamaha menyamakan pakem tuning r25 ke honda tp dgn crankshaft relatif berat tentunya dgn mudah r25 digdaya dlm keadaan standar (stroke tetep 44.1mm) ya bro?
Klo perbadaan pakem tuning suzuki dgn honda apa bro? Apa durasi ma berat crankshaftnya jg beda?
Itu benar bro, dengan merubah pakem tuningnya R25 lbh digdaya.
Bisa menghasilkan torsi 27-32nm, power jangan ditanya…
Pakem tuning suzuki dan honda pada prinsipnya sama (durasi overlap kecil, lsa lebar) Hampir semua produk lokal suzuki dikurangi berat crankshaftnya sama dgn honda. Kecuali mesin 2tak & cbu spt satria fu thai, fxr150, inazuma250, next GSX-R250.
Jika spec mesin suzuki lbh tinggi, performanya dikurangi dgn mengunakan header lbh besar atau karbu lbh kecil.
Misalnya:
cs1 vs thunder125,
old cbsf/cbr150lokal vs satria fu lokal.
Vario125 vs hayate125,spin125,Skywave125, skydrive125.
Karisma/supraX125 series vs shogun125 series.
Mungkin ini sudah kesepakatan antar pabrikan mopang.
Jika pakem tuningnya lbh advance atau specnya lbh tinggi musti didowngrade supaya performanya imbang/11-12.
Brarti suzuki sm honda itu kebalikan ya.
Cs1 header kecil karbu besar.
Thunder125 header besar karbu kecil.
Tinggal di kombinasi aja ya 2-2nya biar optimal.
Jadi bukan kebalikan Sepertinya suzuki tidak memposisikan thunder 125 sbg sport high performa meski hal itu bisa dilakukan.
Secara pakem tuning menaikan performa dgn cara mengecilkan header efeknya menaikan torsi. Karena backpressure dari knalpot berkurang maka mesin membutuhkan campuran udara+bbm lbh banyak dari intake, oleh sebab itu mengecilkan header biasanya diimbangi dgn menaikan venturi karbu.
Kecuali jika venturi karbu/tb-nya sudah besar.
Suzuki memposisikan rider125 head to head dgn sonic/cs1.
Ini baru pencerahan yg super…gk belain merk.
Sperti vixion…jika di naikan kompresinya, bisa melawati cibi kan??..secara…kompresi vixion yg jauh lebih kecil dibandingkan cibi..
@joniboy
bisa jd sperti itu bro,tp ini masalahnya mopang2 yg bredar d indonesia pd dkebiri powernya,n itu kata bro pengamat seakan ada “kesepakatan” antar pabrikan..
Smisal yg bro sebutin td rasio kompresi vixion lbh rendah dr ancb
crankshaft ancb yg lbh ringan dr vixion
blm lg bahas durasi noken as,header n throttle body..
Spertinya masyarakat dsuruh memilih brand antara h y k s dgn pakem tuning berbeda walau beda hasil tuningnya cuma 11 12 pdhal bisa kok dbikin lebih jk pabrikan mau..
blm lg model n fitur yg saling melengkapi smisal minus d brand ini trs plus d brand lain,hmpir tdk ada yg overkill..
Jd klo antar brand mopang aja janjian masak qt mau jd fansboy buta?? Tinggal selera qt aja pilih yg mana..
klo pengen lbh ya modiflaaaah heheheeee..
ini motor desainya oke bgt
om motogokil, maaf oot, di blog2 kondang sdh ada tuh prediksi power gsx-r/s 150 yang tembus 19.17 hp. bwat analisanya dong seperti biasa..
ok, insya Allah
ane juga nggak sabar untuk membuatkan artikelnya, tapi mohon maaf nih masih sibuk banget