Memahami Geometri dan Gerakan Piston

in_cylinder

Assalamu’alaikum wR wB

Salam sejahtera buat kita semua, semoga kita semua selamat di perjalanan sampai ke tujuan.

Kita semua tahu bahwa motor kita bisa jalan karena ada sesuatu yang memutarnya, yaitu crankshaft. Sedangkan crankshaft bisa berputar karena ada torsi yang diberikan oleh con-rod (stang seher) yang menyalurkan gaya dorong akibat ledakan di ruang bakar/silinder. Jadi intinya kalau kita ingin memulai memahami apa yang terjadi di mesin motor kita, maka pertama2 adalah memahami gerakan piston naik turun yang seirama dengan perputaran crankshaft.

Sebagaimana sudah diketahui bersama bahwa mesin 4-tak, melakukan siklus kerja dengan 4 langkah yang meliputi 2 siklus mesin/crankshaft. Supaya ingat kembali, inilah siklus mesin 4-tak

siklus dasar mesin 4tak

4 langkah tersebut adalah ; hisap, tekan, bakar/ledakkan dan buang. Jadi kinerja dari mesin 4-tak ini benar2 tergantung dari gerakan pistonnya. Nah sekarang mari kita pelan2 membahas gerakan piston ini.Gerkan piston dipengaruhi oleh 3 variabel yaitu :

  1. Sudut crankshaft (θ)
  2. Panjang stang seher (L)
  3. Radius bandul/crankshaft ( a =Stroke / 2)

Secara sederhana digambarkan pada gambar berikut

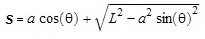
piston sistemJadi piston naik-turun di dalam silinder, sepanjang S (stroke-nya). Akan tetapi selama proses naik dan turun kecepatannya tidak seragam. Mulai dengan mencari hubungan antara nilai “S” dengan θ . Yang pertama dicari adalah ketinggina piston relatif terhadap BDC/bottom death center (titik mati bawah) yang persamaanny adalah

tinggi piston

Jadi saat θ=0° , tinggi piston adalah L+a, dan saat θ=180° tinggi piston adalah L-a. Dan selisih antara posisi piston tertinggi (TDC) dan piston terendah (BDC) = (L+a) – (L-a) = 2a =stroke.

Gerakan naik turunnya dapat dilihat dalam grafik berikut, misalnya stroke = 100 mm.

MuPAD graphics

Grafik gerakan naik turunnya piston ini erat kaitannya dengan parameter piston speed, yang merupakan hasil dari turunan pertama persamaan di atas terhadap waktu ( ds/dt).

Dari persamaan di atas bisa diperoleh persamaan volume silinder dan luas permukaan silinder. Volume silinder diperoleh dengan mengalikan volume = (stroke – s) x luas piston, luas piston = pi x bore^2 / 4. Jika bore = 85 mm, L = 150 mm dan a = 50 mm, maka grafik volumenya seperti ini.

MuPAD graphics

Persamaan volume ini erat kaitannya dengan volumetrik efisiensi, torsi dan power yang dihasilkan mesin. Karena volume dari grafik tersebut menyiratkan volume campuran udara+bbm yang akan dibakar.

Juga bisa peroleh luas permukaan silinder dengan mengalikan (stroke -s) dengan keliling piston, A= (stroke -s) x (2 pi x bore). Dan grafiknya seperti ini

MuPAD graphics

Grafik dari luas permukaan silinder ini erat kaitannya dengan gaya gesek antara silinder dan ring piston serta besarnya transferpanas yang terjadi pada dinding silinder.

Demikain kiranya yang bisa ane sampaikan, lebih kurangnya mohon maaf. Semoga bermanfaat wassalamu’alaikum wR wB.

 

14 Komentar

  1. ngulang pelajaran waktu smp nie ,dulu ada mapel otomotif ma njahit trus elektronika
    kirain dah berubah ternyata masih sama ya daleman mesinnya

  2. Om motogokil tanya dong,
    apa bner yg namanya msin tegak (ngga tiduran sprti pd motor bebek > moped) itu lbih superior drpda msin tiduran (karena motor yg ngaku batangan atw sport rata2 engine nya tegak)
    dgn kata lain apakah mesin tidur inferior klw dibanding mesin tegak (atw yg bersudut) sekian derajat,.(non tiduran)?
    – padahal sy mnduga mesin tiduran sperti underbone pd umunya (HSX, gen RC, gen mesin astrea dll) itu akan lbih merata pelumasannya karena toh oli ada di bawah ,
    dgn asumsi * gaya & sistem utk melumasi dinding underdome piston mungkin tdk sbesar jk plumas disemprot pompa oli ke arah samping sprti pd msin tiarap.

    sorry OOT, tpi sdikit2 msh nyenggol artikel ini lah,.. 🙂

    ada smacam kabar angin oleh mkanik2 gaek di t4 saya mnyatakan faktor tegaknya mesin GL 100 (ak.a GL kotak ) itu mnybababkan durabilitas motor itu tdk sbaik gen GL yg lbh muda dimana GL 125- 160 (pro, neotech, max >> yg lbh muda ) agak miring,( ngga bner2 tegak spt GL kotak lama), sehingga ketahanan komponen trhdp aus lbh baik, 🙂

    • setau ane, mesin tegak powernya selalu lebih besar dari mesin tiduran, contoh suzuki thunder, gl max dgn suprax125. karena tenaganya yang besar itulah makanya mesin tegak cocok buat motor batangan.
      Kalau masalah pelumasan mesin tiduran memang lebih unggul.
      Dengan konstruksi yang sama, mesin tegak bisa menghasilkan power sedikit lebih besar, karena diuntungkan dengan gaya grafitasi yang memberikan momon puntir tambahan saat langkah tenaga (power stroke), karena baik piston, pis piston dan stang seher semuanya punya masa, dan lumayan berat.
      makanya nggak ada mobil yang mesinnya tiduran.

2 Trackbacks / Pingbacks

  1. Pengaruh Panjang Con Rod (Stang Seher) Terhadap Performa Engine | motorgoodness
  2. Pengaruh Panjang Con Rod (Stang Seher) Terhadap Performa Engine – UratMalu

Tinggalkan Balasan ke wil&Batalkan balasan