Asssalamu’alaikum wR wB
Salam sejahtera buat kita semua, semoga kita semua selamat di perjalanan sampai ke tujuan
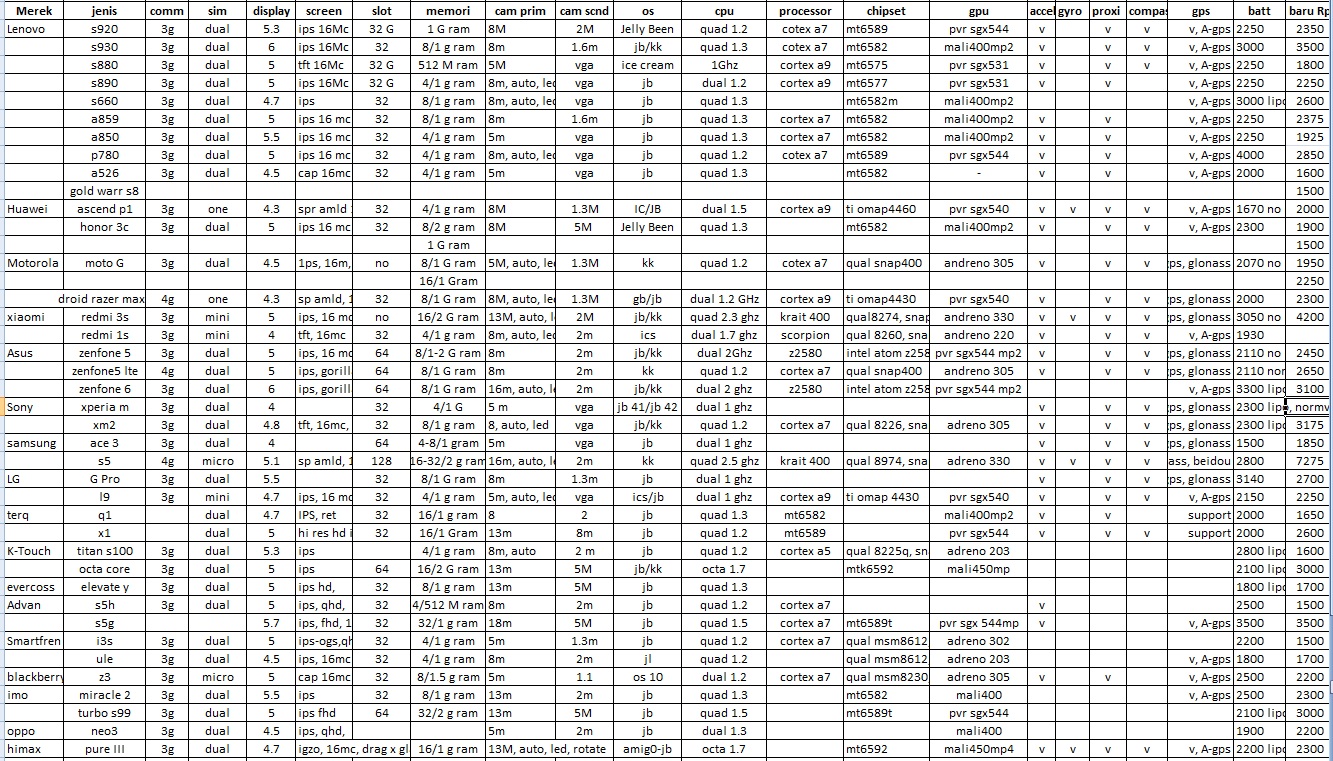
Dari artikel sebelumnya, banyak review dan saran bagi ane untuk pilihan2 smartphone (hp) yang ada. Sambil mengumpulkan spek, layaknya mau beli motor, akhirnya dapat ditabelkan beberapa spek yang menurut ane penting buat ane pribadi. Dengan isi tabel ini, semoga bro-bro semua yang juga ingin ganti hp, mungkin bisa menjadikannya sebagai acuan awal sebelum pergi ke konter hp. Ada baiknya di cross-check pada sumber2 yang valid di internet. Berikut tabelnya
Yang kemudian berdasarkan lebar layar dan harga, ane sortir jadi pilihan yang lebih sedikit…
Selain yang branded ada juga yang merek lokal. Kalo yang branded kayaknya ane cenderung pengen yang asus zenfone5, sedangkan kalau duit bener-bener mepet, pilihan hp lokal yang ane pilih evercoss elevate y.
Tolong bro kalo pilihan ane salah, karena ada yang punya pengalaman buruk dengan smartphone tersebut, ane dikasih saran, untuk pilihan yang lebih tepat.
Terimakasih sebelumnya, wassalamu’alaikum wR wB.



Asus aja !! Pak ….
wah mbah darmo lama2 cinta sama blog pak gokil…
Kalo evercoss menang di fitur “one glass solution” ( layar lebih responsif saat di tekan ) …. Tapi kalah di prossesor !!
Pilih yang dohc dgn fitur tanduk dan wifi..,
himax pure 3.. mungkin dr brand kurang wah.. tapi worthed.. udah hampir setaun make himax pure 2 memuaskan kok.. dukungan grup fb maupun kaskus juga mantep..
cuma kalo mau main aman nggak aneh aneh asus z5 juga cukup.. sayang di jogja harga gila gilaan.. 🙂
himax pure 3.. mungkin dr brand kurang wah.. tapi worthed.. udah hampir setaun make himax pure 2 memuaskan kok.. dukungan grup fb maupun kaskus juga mantep..
cuma kalo mau main aman nggak aneh aneh asus z5 juga cukup.. sayang di jogja harga gila gilaan.. -_-
himax pure 3.. mungkin dr brand kurang wah.. tapi worthed.. udah hampir setaun make himax pure 2 memuaskan kok.. dukungan grup fb maupun kaskus juga mantep..
cuma kalo mau main aman nggak aneh aneh asus z5 juga cukup.. sayang di jogja harganya gila gilaan.. -_-
himax pure 3.. mungkin dr brand kurang wah.. tapi worthed.. udah hampir setaun make himax pure 2 memuaskan kok.. dukungan grup fb maupun kaskus juga mantep..
cuma kalo mau main aman nggak aneh aneh asus z5 juga cukup.. sayang di jogja harganya gila gilaan..
Sekarang ane pakai nokia 3315 … Saya upgrade pakai layar tabung 14″ !! Joss !!
xperia z
jozz
hehehe, kykny berhasil ni racun dr ane..
lippo karwaci tngrang.., 2,4-2,6 ram 2G
kirain skantor cuman ane doank, g tau ny ad 6 orang pake.., bujug bunek..
jangan beli evercross atau produk nasional csnya sulit komplain, onderdilnya sulit di cari… meding beli merk luar sekalian.
Coba mas cek di ponselmu.com ttg asus
Kalo hape gw gak masalah spek doang, kualitas nangkap dan ngunci sinyal kalo di ostrali carrier telstra ngasih approval blue tick.
Kali personal sih milih sony m2 dual ama bb z10 yah untuk midrange…
hp ceria ud beredar lg, murah meriah.
oke
xperia om…mantab
Asus Zenfone 5 aja…
Tetap kurang suka procie intel di smartphone, lebih irit snapdragon atau mtk..
gk berani nyaranin trgantung selera,
biar gk trjerumus beli aja tabloid PULSA trus bandingkan mana yg anda suka, klu saya sejak dulu cuma 3 brand Samsung, LG ma Sony (selera aja)
lihat juga tuh kapasitas baterai, smart phone rakus pemakaian baterainya. contoh aja ya? zenfone4 bentar2 charge. untuk hrga yg sepadan ttp fitur lbh bagus, setahu saya Lenovo.
kalo urusan baterai n ga buat game
samsung pilihannya, bterai irit, UI nya simpel, n paket data nya terjamin tnp kuota
recommend spek: Asus Zenfone 5
recommend awet n jaminan mutu: Lenovo s920 (karena ane pake hp ini)
Buang jauh2 vga yg tipe MALI, karena itu arsitektur jadul
Bb z3 pastinya, tp klo Android minimal yang udah pake mali 450 gpu lah cmiw
Atau klo ada dana lebih dikit lagi bisa beli tablet ifive mini 3gs harga 2.8jt – 2.9jt
sebelum dan sesudahnya, ane ucapin terima kasih buat bro2 semua yang sudah ngasih review mengenai smartphone2 tsb
banyak banget manfaatnya buat ane juga yang lainnya
asus zenfone 5 aja mas.. layar jernih seperti experia z.. model keren.. ato ngga lenovo s920, tipis, layar lega, harga bersahabat.. cuman barangnya agak langka, udh keluaran lama soalnya..
blm bisa komentar banyak untuk ponsel asus dan evercross seperti disebut di atas. cuma menurut kabar yang saya denger tentang asus zenfone 4, kekurangan yang cukup merepotkan adalh daya tahan baterainya (boros baterai). sedangkan zenfone 5, kata temen yang pakai sih katanya cukup puas. mengenai kemampuan cpu intel di smartphone, ada temen yang gak suka dan menganjurkan snapdragon dan sebaliknya, saya sendiri gak pernah pakai smartphone cpu intel
mengenai evercross elevate y, blm bisa komen. tapi ada temen pakai evercross juga (lupa serinya) dan kebetulan teman sekerja, bbrp kali saya pinjam dan saya pribadi kurang sreg dengan yang dipakai teman. respon nya agak lambat padahal dual core dan ram 1 gb
saya sendiri terbiasa pakai samsung
hati2…upping price terjadi juga di zenfone5….Masuk groups fb zenfone jjaa…zen-ui….
Zenfone 5, boros batere, cepet panas, malem jelek walau katanya pake teknologi ultrapixel tapi nyatanya hasilnya parah…kalo hasil foto cman di laya parti keliatan bagus.. Tapi kalo dipindah ke PC hasilnya ancur ya keliatan kualitas asli hpnya.. Kalo ane sih bwt kestabilan ambil si samsul, soni ama shaomi
kalo ane nyaranin lenovo seri p,bebas penyakit kurang setrum,kinerja juga bisa diandalkan kok.nyaman kemana-mana ga bawa aki haha